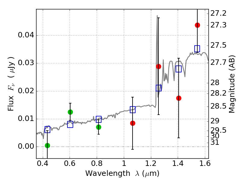
SPT0615-57 IR detection object #285

Color images and BPZ results
Catalog: 285.cat
Black segments are analyzed here.   Roll mouse over color images to view segments.
Best viewed in a wide browser window (1200 pixels or more).   Download SED & P(z) plots to view larger versions.
In P(z) plots: Yellow lines mark the cluster redshift z = 0.972,  

Object #285   x,y = (6593, 5641)   RA, Dec = (06:15:49.032, -57:47:24.00) = (93.95430, -57.79000)   BPZ = 2.343 [0.767--3.280]   type = 8.00 (SB1_B10)   stellarity = 0.12   chisq2 = 1.17   ODDS = 0.18   z_cluster = 0.972