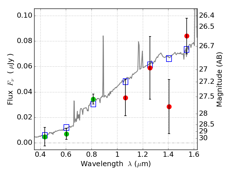
SPT0615-57 IR detection object #274

Color images and BPZ results
Catalog: 274.cat
Black segments are analyzed here.   Roll mouse over color images to view segments.
Best viewed in a wide browser window (1200 pixels or more).   Download SED & P(z) plots to view larger versions.
In P(z) plots: Yellow lines mark the cluster redshift z = 0.972,  

Object #274   x,y = (5473, 5621)   RA, Dec = (06:15:57.432, -57:47:25.44) = (93.98930, -57.79040)   BPZ = 0.777 [0.368--5.332]   type = 6.80 (Scd_B10 - Sbc_B10)   stellarity = 0.02   chisq2 = 1.28   ODDS = 0.18   z_cluster = 0.972