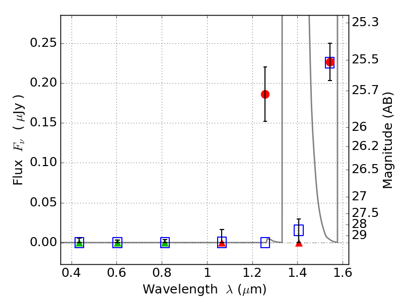
SPT0615-57 IR detection object #26

Color images and BPZ results
Catalog: 26.cat
Black segments are analyzed here.   Roll mouse over color images to view segments.
Best viewed in a wide browser window (1200 pixels or more).   Download SED & P(z) plots to view larger versions.
In P(z) plots: Yellow lines mark the cluster redshift z = 0.972,  

Object #26   x,y = (6118, 4953)   RA, Dec = (06:15:52.584, -57:48:05.40) = (93.96910, -57.80150)   BPZ = 12.012 [2.019--12.924]   type = 9.00 (SB2_B10)   stellarity = 0.77   chisq2 = 6.35   ODDS = 0.49   z_cluster = 0.972