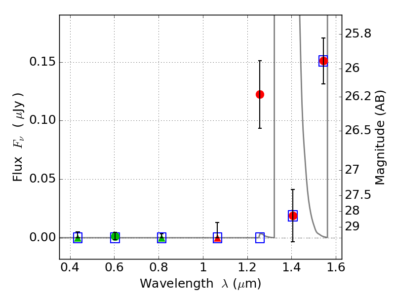
SPT0615-57 IR detection object #206

Color images and BPZ results
Catalog: 206.cat
Black segments are analyzed here.   Roll mouse over color images to view segments.
Best viewed in a wide browser window (1200 pixels or more).   Download SED & P(z) plots to view larger versions.
In P(z) plots: Yellow lines mark the cluster redshift z = 0.972,  

Object #206   x,y = (7158, 5483)   RA, Dec = (06:15:44.784, -57:47:33.72) = (93.93660, -57.79270)   BPZ = 11.892 [2.865--12.841]   type = 9.30 (SB2_B10 - SB3_B10)   stellarity = 0.90   chisq2 = 4.03   ODDS = 0.30   z_cluster = 0.972