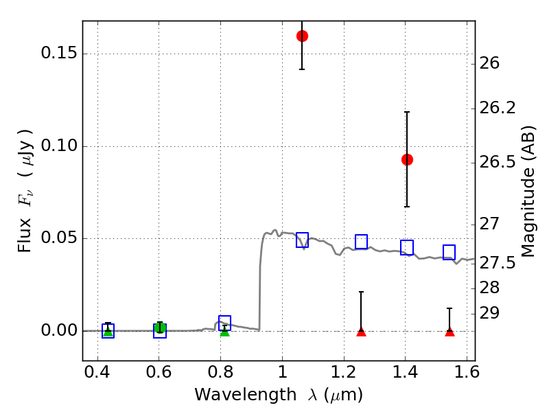
SPT0615-57 IR detection object #203

Color images and BPZ results
Catalog: 203.cat
Black segments are analyzed here.   Roll mouse over color images to view segments.
Best viewed in a wide browser window (1200 pixels or more).   Download SED & P(z) plots to view larger versions.
In P(z) plots: Yellow lines mark the cluster redshift z = 0.972,  

Object #203   x,y = (7171, 5480)   RA, Dec = (06:15:44.688, -57:47:33.72) = (93.93620, -57.79270)   BPZ = 6.630 [6.315--7.061]   type = 11.00 (SB11_A_0_l)   stellarity = 0.76   chisq2 = 14.01   ODDS = 0.90   z_cluster = 0.972