SPT0615-57 IR detection object #20

Color images and BPZ results
Catalog: 20.cat
Black segments are analyzed here.   Roll mouse over color images to view segments.
Best viewed in a wide browser window (1200 pixels or more).   Download SED & P(z) plots to view larger versions.
In P(z) plots: Yellow lines mark the cluster redshift z = 0.972,  

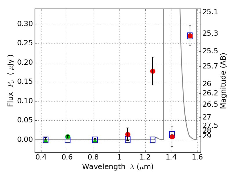
Object #20   x,y = (5991, 4905)   RA, Dec = (06:15:53.544, -57:48:08.28) = (93.97310, -57.80230)   BPZ = 12.113 [11.606--12.956]   type = 9.00 (SB2_B10)   stellarity = 0.85   chisq2 = 5.05   ODDS = 0.74   z_cluster = 0.972