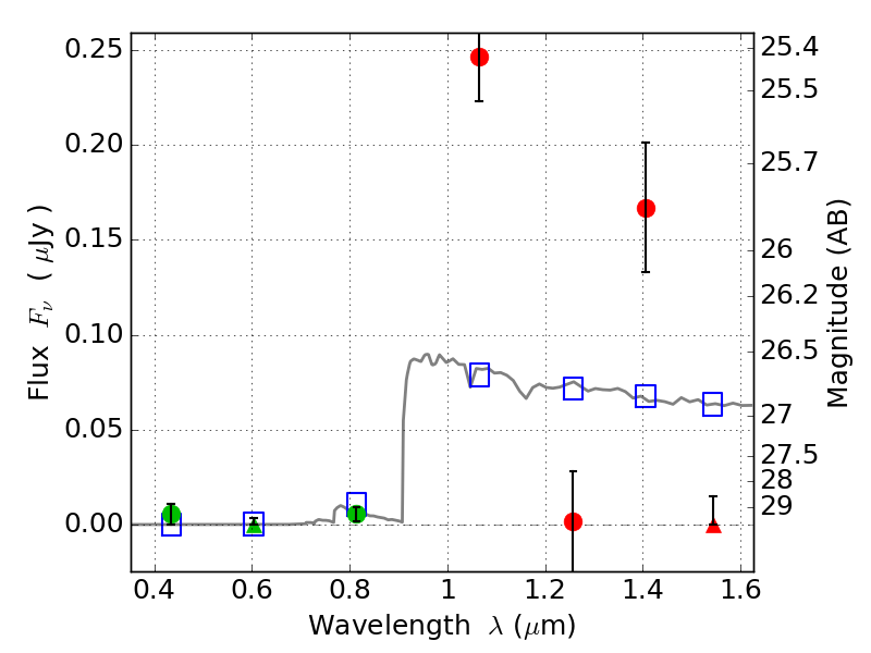
SPT0615-57 IR detection object #19

Color images and BPZ results
Catalog: 19.cat
Black segments are analyzed here.   Roll mouse over color images to view segments.
Best viewed in a wide browser window (1200 pixels or more).   Download SED & P(z) plots to view larger versions.
In P(z) plots: Yellow lines mark the cluster redshift z = 0.972,  

Object #19   x,y = (6003, 4901)   RA, Dec = (06:15:53.448, -57:48:08.64) = (93.97270, -57.80240)   BPZ = 6.479 [6.284--6.780]   type = 11.00 (SB11_A_0_l)   stellarity = 0.81   chisq2 = 19.71   ODDS = 0.97   z_cluster = 0.972