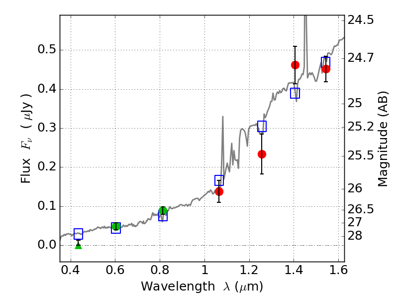
SPT0615-57 IR detection object #120

Color images and BPZ results
Catalog: 120.cat
Black segments are analyzed here.   Roll mouse over color images to view segments.
Best viewed in a wide browser window (1200 pixels or more).   Download SED & P(z) plots to view larger versions.
In P(z) plots: Yellow lines mark the cluster redshift z = 0.972,  

Object #120   x,y = (6112, 5306)   RA, Dec = (06:15:52.632, -57:47:44.16) = (93.96930, -57.79560)   BPZ = 1.905 [1.090--2.367]   type = 6.50 (Scd_B10 - Sbc_B10)   stellarity = 0.00   chisq2 = 1.13   ODDS = 0.33   z_cluster = 0.972