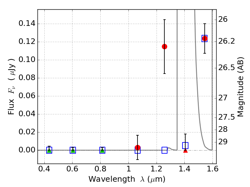
SPT0615-57 IR detection object #1175

Color images and BPZ results
Catalog: 1175.cat
Black segments are analyzed here.   Roll mouse over color images to view segments.
Best viewed in a wide browser window (1200 pixels or more).   Download SED & P(z) plots to view larger versions.
In P(z) plots: Yellow lines mark the cluster redshift z = 0.972,  

Object #1175   x,y = (6224, 7530)   RA, Dec = (06:15:51.792, -57:45:30.96) = (93.96580, -57.75860)   BPZ = 12.159 [10.214--12.952]   type = 9.00 (SB2_B10)   stellarity = 0.73   chisq2 = 3.44   ODDS = 0.68   z_cluster = 0.972