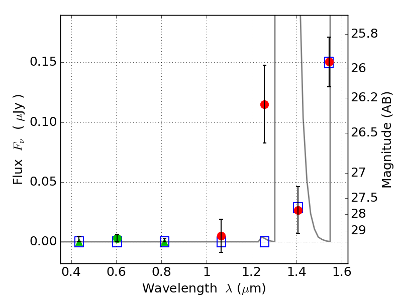
SPT0615-57 IR detection object #1166

Color images and BPZ results
Catalog: 1166.cat
Black segments are analyzed here.   Roll mouse over color images to view segments.
Best viewed in a wide browser window (1200 pixels or more).   Download SED & P(z) plots to view larger versions.
In P(z) plots: Yellow lines mark the cluster redshift z = 0.972,  

Object #1166   x,y = (5788, 7365)   RA, Dec = (06:15:55.056, -57:45:40.68) = (93.97940, -57.76130)   BPZ = 11.746 [7.183--12.798]   type = 11.00 (SB11_A_0_l)   stellarity = 0.79   chisq2 = 2.91   ODDS = 0.42   z_cluster = 0.972