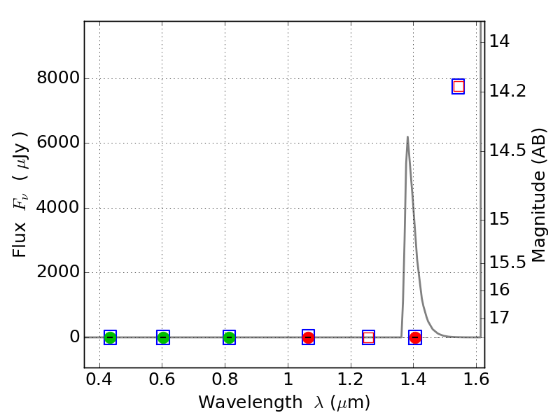
SPT0615-57 IR detection object #1152

Color images and BPZ results
Catalog: 1152.cat
Black segments are analyzed here.   Roll mouse over color images to view segments.
Best viewed in a wide browser window (1200 pixels or more).   Download SED & P(z) plots to view larger versions.
In P(z) plots: Yellow lines mark the cluster redshift z = 0.972,  

Object #1152   x,y = (5649, 7318)   RA, Dec = (06:15:56.112, -57:45:43.56) = (93.98380, -57.76210)   BPZ = 12.399 [6.697--12.409]   type = 10.80 (SB11_A_0_l - SB3_B10)   stellarity = 0.95   chisq2 = 0.00   ODDS = 0.37   z_cluster = 0.972