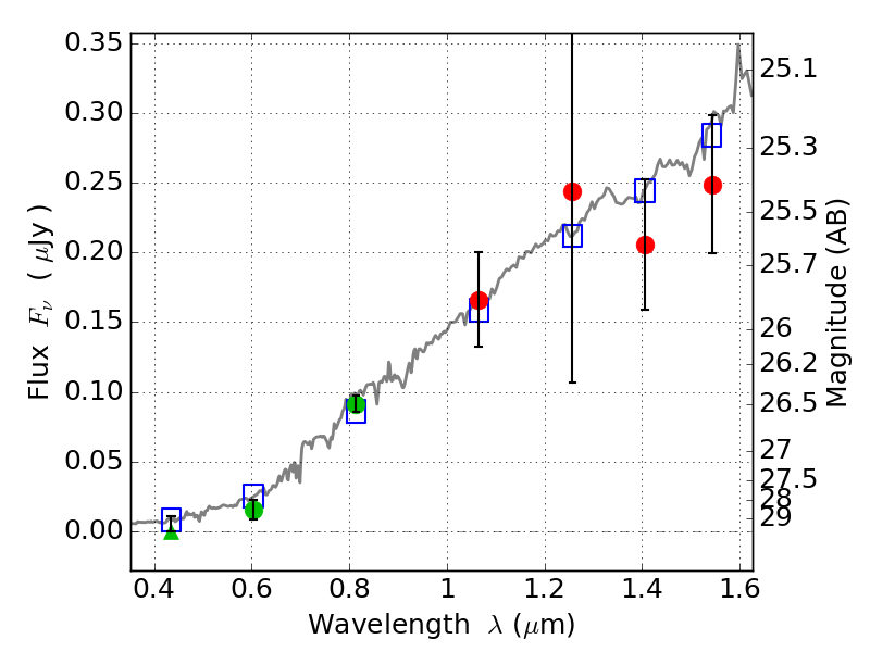
SPT0615-57 IR detection object #1144

Color images and BPZ results
Catalog: 1144.cat
Black segments are analyzed here.   Roll mouse over color images to view segments.
Best viewed in a wide browser window (1200 pixels or more).   Download SED & P(z) plots to view larger versions.
In P(z) plots: Yellow lines mark the cluster redshift z = 0.972,  

Object #1144   x,y = (5651, 7271)   RA, Dec = (06:15:56.088, -57:45:46.44) = (93.98370, -57.76290)   BPZ = 0.759 [0.544--5.682]   type = 5.80 (Sbc_B10 - ES0_B10)   stellarity = 0.01   chisq2 = 0.40   ODDS = 0.27   z_cluster = 0.972