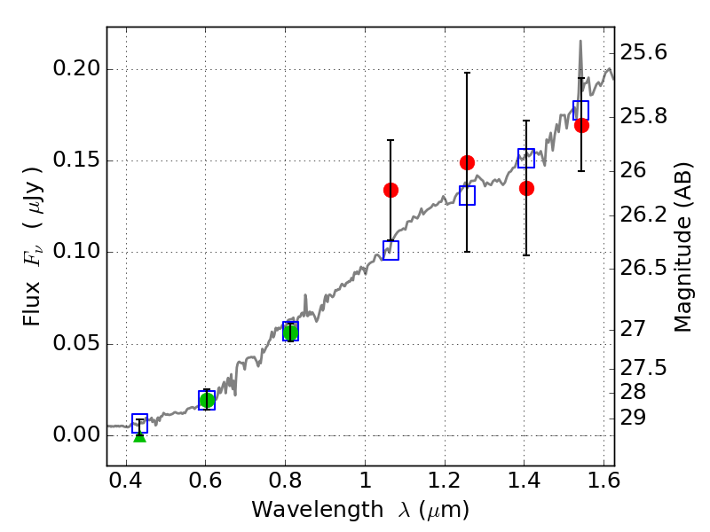
SPT0615-57 IR detection object #1140

Color images and BPZ results
Catalog: 1140.cat
Black segments are analyzed here.   Roll mouse over color images to view segments.
Best viewed in a wide browser window (1200 pixels or more).   Download SED & P(z) plots to view larger versions.
In P(z) plots: Yellow lines mark the cluster redshift z = 0.972,  

Object #1140   x,y = (5678, 7301)   RA, Dec = (06:15:55.896, -57:45:44.64) = (93.98290, -57.76240)   BPZ = 0.705 [0.439--1.143]   type = 6.00 (Sbc_B10)   stellarity = 0.01   chisq2 = 0.45   ODDS = 0.29   z_cluster = 0.972