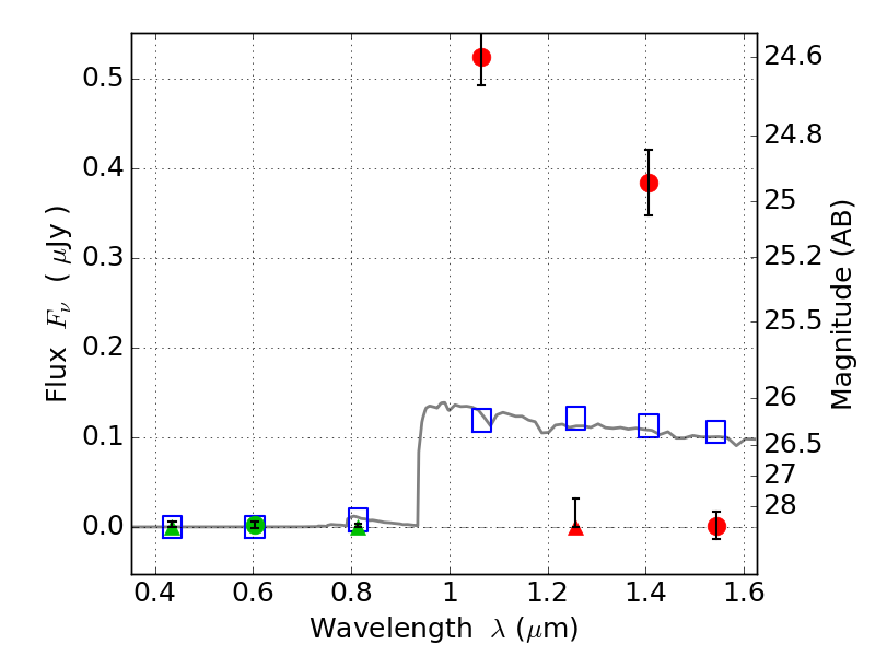
SPT0615-57 IR detection object #1125

Color images and BPZ results
Catalog: 1125.cat
Black segments are analyzed here.   Roll mouse over color images to view segments.
Best viewed in a wide browser window (1200 pixels or more).   Download SED & P(z) plots to view larger versions.
In P(z) plots: Yellow lines mark the cluster redshift z = 0.972,  

Object #1125   x,y = (5470, 7204)   RA, Dec = (06:15:57.456, -57:45:50.40) = (93.98940, -57.76400)   BPZ = 6.708 [6.515--6.890]   type = 11.00 (SB11_A_0_l)   stellarity = 0.91   chisq2 = 61.79   ODDS = 1.00   z_cluster = 0.972