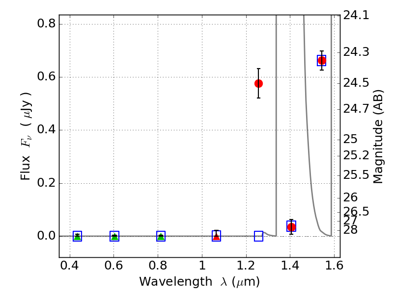
SPT0615-57 IR detection object #1121

Color images and BPZ results
Catalog: 1121.cat
Black segments are analyzed here.   Roll mouse over color images to view segments.
Best viewed in a wide browser window (1200 pixels or more).   Download SED & P(z) plots to view larger versions.
In P(z) plots: Yellow lines mark the cluster redshift z = 0.972,  

Object #1121   x,y = (5457, 7207)   RA, Dec = (06:15:57.528, -57:45:50.04) = (93.98970, -57.76390)   BPZ = 12.085 [11.901--12.927]   type = 9.00 (SB2_B10)   stellarity = 0.91   chisq2 = 16.59   ODDS = 0.84   z_cluster = 0.972