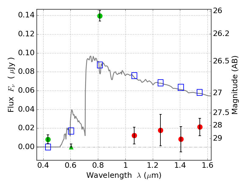
SPT0615-57 IR detection object #1117

Color images and BPZ results
Catalog: 1117.cat
Black segments are analyzed here.   Roll mouse over color images to view segments.
Best viewed in a wide browser window (1200 pixels or more).   Download SED & P(z) plots to view larger versions.
In P(z) plots: Yellow lines mark the cluster redshift z = 0.972,  

Object #1117   x,y = (6399, 7181)   RA, Dec = (06:15:50.472, -57:45:51.84) = (93.96030, -57.76440)   BPZ = 4.822 [4.764--4.891]   type = 11.00 (SB11_A_0_l)   stellarity = 0.00   chisq2 = 29.78   ODDS = 1.00   z_cluster = 0.972