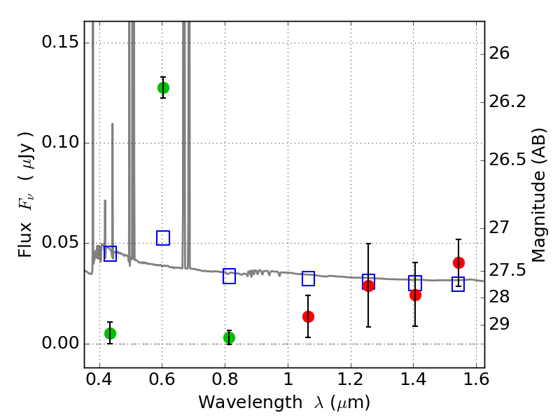
SPT0615-57 IR detection object #1115

Color images and BPZ results
Catalog: 1115.cat
Black segments are analyzed here.   Roll mouse over color images to view segments.
Best viewed in a wide browser window (1200 pixels or more).   Download SED & P(z) plots to view larger versions.
In P(z) plots: Yellow lines mark the cluster redshift z = 0.972,  

Object #1115   x,y = (6376, 7181)   RA, Dec = (06:15:50.640, -57:45:51.84) = (93.96100, -57.76440)   BPZ = 0.017 [0.010--0.035]   type = 11.00 (SB11_A_0_l)   stellarity = 0.01   chisq2 = 55.53   ODDS = 1.00   z_cluster = 0.972