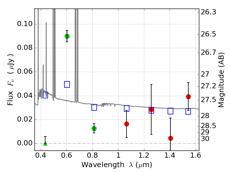
SPT0615-57 IR detection object #1111

Color images and BPZ results
Catalog: 1111.cat
Black segments are analyzed here.   Roll mouse over color images to view segments.
Best viewed in a wide browser window (1200 pixels or more).   Download SED & P(z) plots to view larger versions.
In P(z) plots: Yellow lines mark the cluster redshift z = 0.972,  

Object #1111   x,y = (6366, 7176)   RA, Dec = (06:15:50.736, -57:45:52.20) = (93.96140, -57.76450)   BPZ = 0.019 [0.010--0.048]   type = 11.00 (SB11_A_0_l)   stellarity = 0.00   chisq2 = 24.98   ODDS = 0.99   z_cluster = 0.972