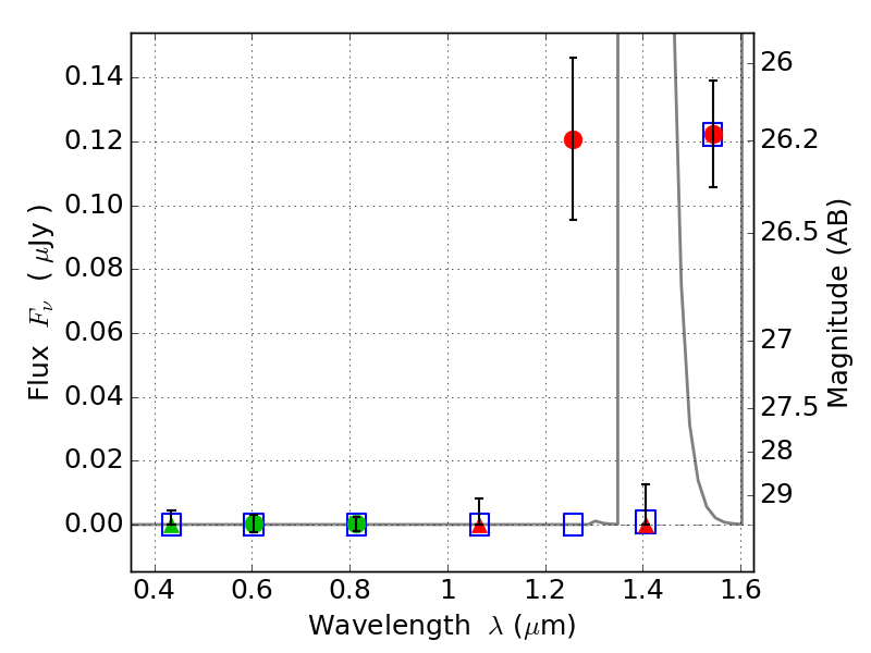
SPT0615-57 IR detection object #111

Color images and BPZ results
Catalog: 111.cat
Black segments are analyzed here.   Roll mouse over color images to view segments.
Best viewed in a wide browser window (1200 pixels or more).   Download SED & P(z) plots to view larger versions.
In P(z) plots: Yellow lines mark the cluster redshift z = 0.972,  

Object #111   x,y = (6587, 5274)   RA, Dec = (06:15:49.056, -57:47:46.32) = (93.95440, -57.79620)   BPZ = 12.273 [11.653--12.963]   type = 11.00 (SB11_A_0_l)   stellarity = 0.75   chisq2 = 5.12   ODDS = 0.82   z_cluster = 0.972