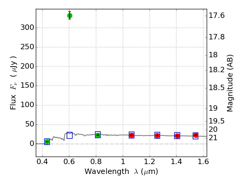
SPT0615-57 IR detection object #1082

Color images and BPZ results
Catalog: 1082.cat
Black segments are analyzed here.   Roll mouse over color images to view segments.
Best viewed in a wide browser window (1200 pixels or more).   Download SED & P(z) plots to view larger versions.
In P(z) plots: Yellow lines mark the cluster redshift z = 0.972,  

Object #1082   x,y = (5865, 7207)   RA, Dec = (06:15:54.480, -57:45:50.04) = (93.97700, -57.76390)   BPZ = 3.634 [3.586--3.658]   type = 10.10 (SB3_B10 - SB11_A_0_l)   stellarity = 0.03   chisq2 = 244.95   ODDS = 1.00   z_cluster = 0.972