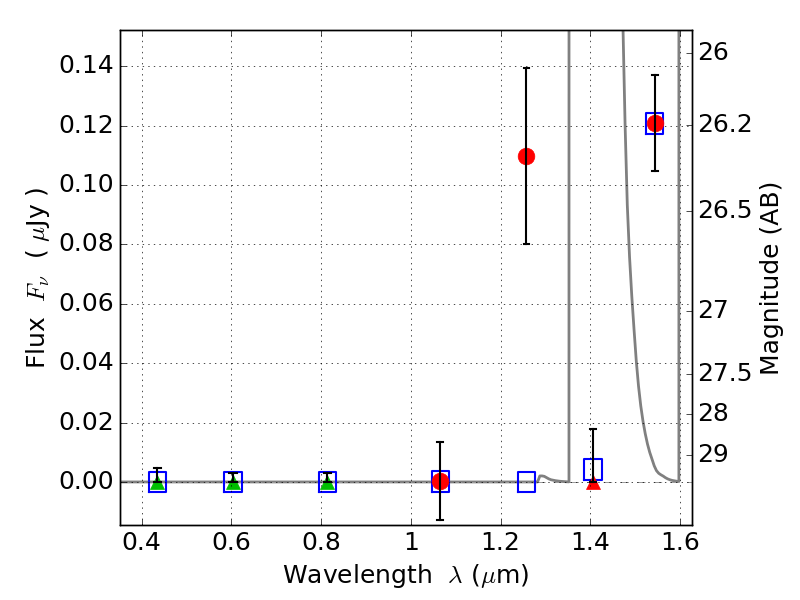
SPT0615-57 IR detection object #1062

Color images and BPZ results
Catalog: 1062.cat
Black segments are analyzed here.   Roll mouse over color images to view segments.
Best viewed in a wide browser window (1200 pixels or more).   Download SED & P(z) plots to view larger versions.
In P(z) plots: Yellow lines mark the cluster redshift z = 0.972,  

Object #1062   x,y = (5359, 7170)   RA, Dec = (06:15:58.272, -57:45:52.56) = (93.99280, -57.76460)   BPZ = 12.188 [10.388--12.954]   type = 9.00 (SB2_B10)   stellarity = 0.90   chisq2 = 3.20   ODDS = 0.69   z_cluster = 0.972