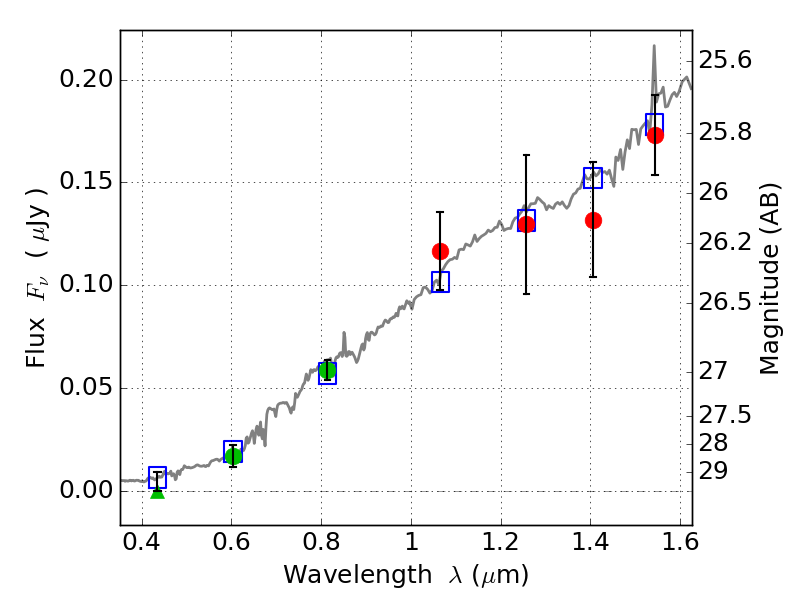
SPT0615-57 IR detection object #1029

Color images and BPZ results
Catalog: 1029.cat
Black segments are analyzed here.   Roll mouse over color images to view segments.
Best viewed in a wide browser window (1200 pixels or more).   Download SED & P(z) plots to view larger versions.
In P(z) plots: Yellow lines mark the cluster redshift z = 0.972,  

Object #1029   x,y = (6146, 6984)   RA, Dec = (06:15:52.368, -57:46:03.72) = (93.96820, -57.76770)   BPZ = 0.700 [0.456--1.110]   type = 6.00 (Sbc_B10)   stellarity = 0.05   chisq2 = 0.30   ODDS = 0.33   z_cluster = 0.972