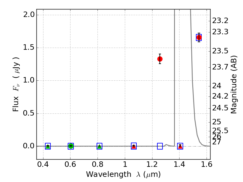
SPT0615-57 IR detection object #1009

Color images and BPZ results
Catalog: 1009.cat
Black segments are analyzed here.   Roll mouse over color images to view segments.
Best viewed in a wide browser window (1200 pixels or more).   Download SED & P(z) plots to view larger versions.
In P(z) plots: Yellow lines mark the cluster redshift z = 0.972,  

Object #1009   x,y = (5617, 6941)   RA, Dec = (06:15:56.352, -57:46:06.24) = (93.98480, -57.76840)   BPZ = 12.395 [12.273--12.976]   type = 11.00 (SB11_A_0_l)   stellarity = 0.96   chisq2 = 25.29   ODDS = 0.92   z_cluster = 0.972