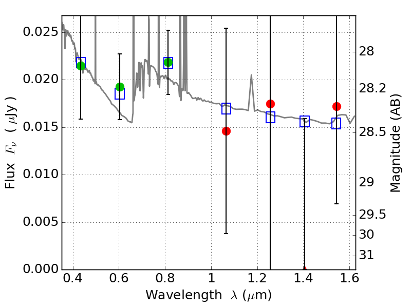
SPT0615-57 ACS+IR detection object #9085

Color images and BPZ results
Catalog: 9085.cat
Black segments are analyzed here.   Roll mouse over color images to view segments.
Best viewed in a wide browser window (1200 pixels or more).   Download SED & P(z) plots to view larger versions.
In P(z) plots: Yellow lines mark the cluster redshift z = 0.972,  

Object #9085   x,y = (4873, 6314)   RA, Dec = (06:16:01.920, -57:46:43.68) = (94.00800, -57.77880)   BPZ = 0.779 [0.122--3.228]   type = 11.00 (SB11_A_0_l)   stellarity = 0.13   chisq2 = 0.27   ODDS = 0.07   z_cluster = 0.972