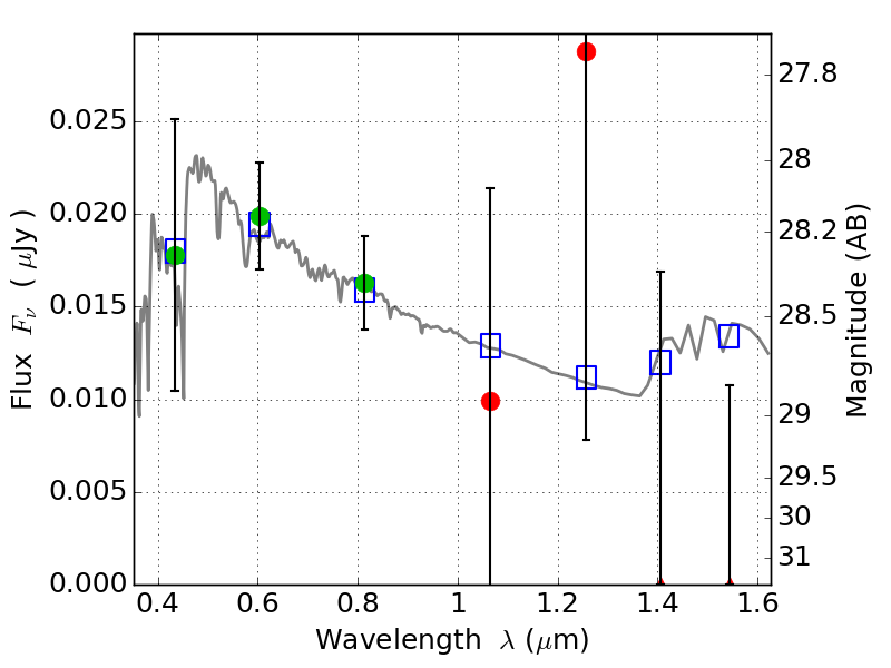
SPT0615-57 ACS+IR detection object #8784

Color images and BPZ results
Catalog: 8784.cat
Black segments are analyzed here.   Roll mouse over color images to view segments.
Best viewed in a wide browser window (1200 pixels or more).   Download SED & P(z) plots to view larger versions.
In P(z) plots: Yellow lines mark the cluster redshift z = 0.972,  

Object #8784   x,y = (6341, 6226)   RA, Dec = (06:15:50.904, -57:46:49.08) = (93.96210, -57.78030)   BPZ = 2.717 [0.111--3.464]   type = 11.00 (SB11_A_0_l)   stellarity = 0.41   chisq2 = 0.71   ODDS = 0.15   z_cluster = 0.972