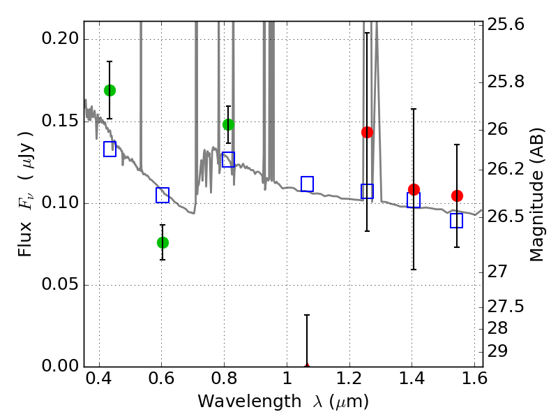
SPT0615-57 ACS+IR detection object #8591

Color images and BPZ results
Catalog: 8591.cat
Black segments are analyzed here.   Roll mouse over color images to view segments.
Best viewed in a wide browser window (1200 pixels or more).   Download SED & P(z) plots to view larger versions.
In P(z) plots: Yellow lines mark the cluster redshift z = 0.972,  

Object #8591   x,y = (4940, 6168)   RA, Dec = (06:16:01.416, -57:46:52.32) = (94.00590, -57.78120)   BPZ = 0.909 [0.092--1.033]   type = 11.00 (SB11_A_0_l)   stellarity = 0.06   chisq2 = 5.55   ODDS = 0.60   z_cluster = 0.972