SPT0615-57 ACS+IR detection object #8447

Color images and BPZ results
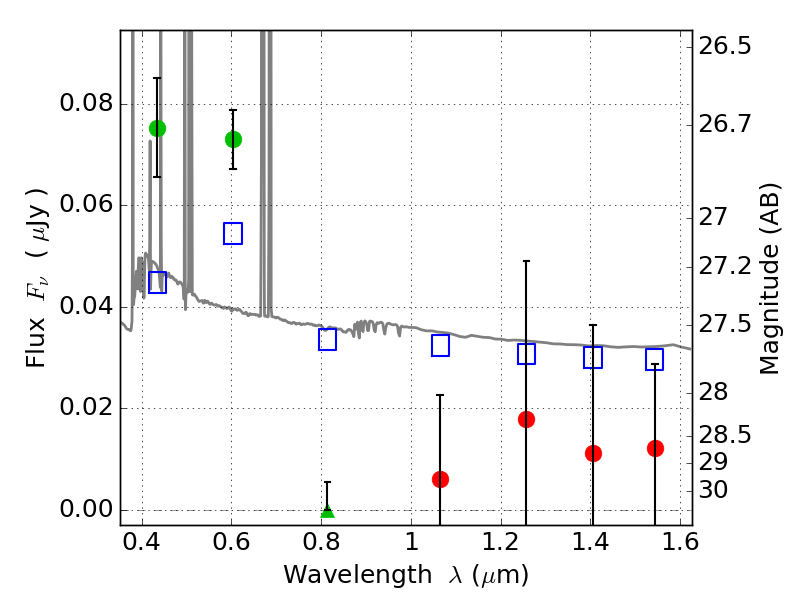
Catalog: 8447.cat
Black segments are analyzed here.   Roll mouse over color images to view segments.
Best viewed in a wide browser window (1200 pixels or more).   Download SED & P(z) plots to view larger versions.
In P(z) plots: Yellow lines mark the cluster redshift z = 0.972,  

Object #8447   x,y = (5121, 6131)   RA, Dec = (06:16:00.072, -57:46:54.84) = (94.00030, -57.78190)   BPZ = 0.023 [0.010--2.100]   type = 11.00 (SB11_A_0_l)   stellarity = 0.08   chisq2 = 11.56   ODDS = 0.88   z_cluster = 0.972