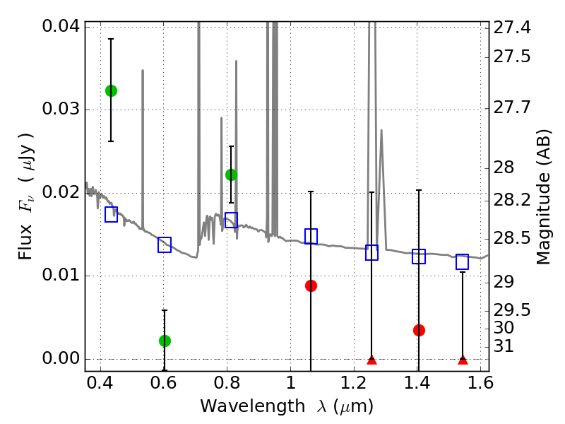
SPT0615-57 ACS+IR detection object #8405

Color images and BPZ results
Catalog: 8405.cat
Black segments are analyzed here.   Roll mouse over color images to view segments.
Best viewed in a wide browser window (1200 pixels or more).   Download SED & P(z) plots to view larger versions.
In P(z) plots: Yellow lines mark the cluster redshift z = 0.972,  

Object #8405   x,y = (5136, 6122)   RA, Dec = (06:15:59.952, -57:46:55.20) = (93.99980, -57.78200)   BPZ = 0.908 [0.105--2.444]   type = 11.00 (SB11_A_0_l)   stellarity = 0.08   chisq2 = 4.84   ODDS = 0.31   z_cluster = 0.972