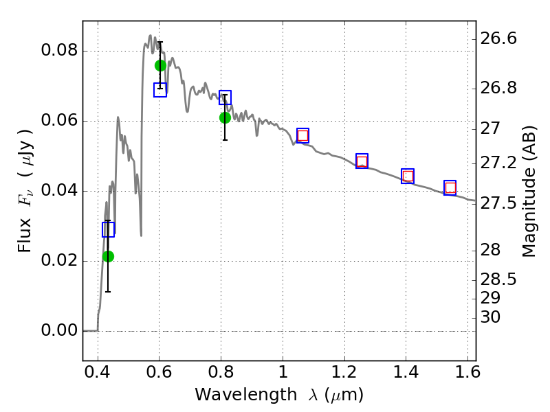
SPT0615-57 ACS+IR detection object #8080

Color images and BPZ results
Catalog: 8080.cat
Black segments are analyzed here.   Roll mouse over color images to view segments.
Best viewed in a wide browser window (1200 pixels or more).   Download SED & P(z) plots to view larger versions.
In P(z) plots: Yellow lines mark the cluster redshift z = 0.972,  

Object #8080   x,y = (4838, 6024)   RA, Dec = (06:16:02.184, -57:47:01.32) = (94.00910, -57.78370)   BPZ = 3.464 [0.324--3.725]   type = 11.00 (SB11_A_0_l)   stellarity = 0.05   chisq2 = 1.73   ODDS = 0.56   z_cluster = 0.972