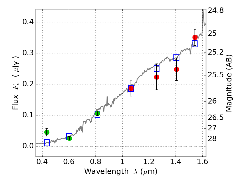
SPT0615-57 ACS+IR detection object #7690

Color images and BPZ results
Catalog: 7690.cat
Black segments are analyzed here.   Roll mouse over color images to view segments.
Best viewed in a wide browser window (1200 pixels or more).   Download SED & P(z) plots to view larger versions.
In P(z) plots: Yellow lines mark the cluster redshift z = 0.972,  

Object #7690   x,y = (6755, 5899)   RA, Dec = (06:15:47.808, -57:47:08.52) = (93.94920, -57.78570)   BPZ = 0.774 [0.587--1.115]   type = 6.00 (Sbc_B10)   stellarity = 0.00   chisq2 = 0.85   ODDS = 0.38   z_cluster = 0.972