SPT0615-57 ACS+IR detection object #7451

Color images and BPZ results
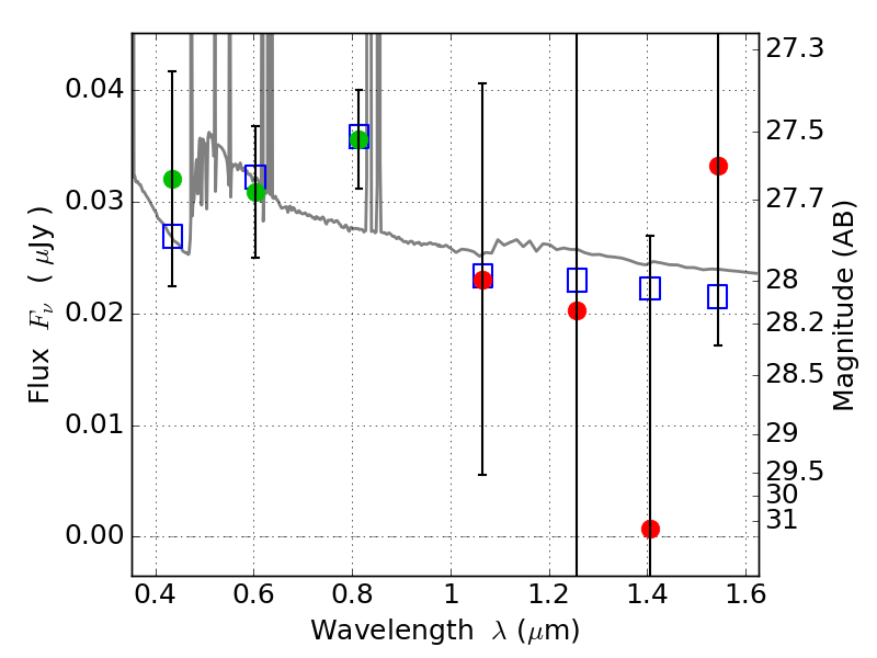
Catalog: 7451.cat
Black segments are analyzed here.   Roll mouse over color images to view segments.
Best viewed in a wide browser window (1200 pixels or more).   Download SED & P(z) plots to view larger versions.
In P(z) plots: Yellow lines mark the cluster redshift z = 0.972,  

Object #7451   x,y = (6352, 5824)   RA, Dec = (06:15:50.832, -57:47:13.20) = (93.96180, -57.78700)   BPZ = 0.271 [0.113--3.337]   type = 11.00 (SB11_A_0_l)   stellarity = 0.41   chisq2 = 0.38   ODDS = 0.07   z_cluster = 0.972