SPT0615-57 ACS+IR detection object #6711

Color images and BPZ results
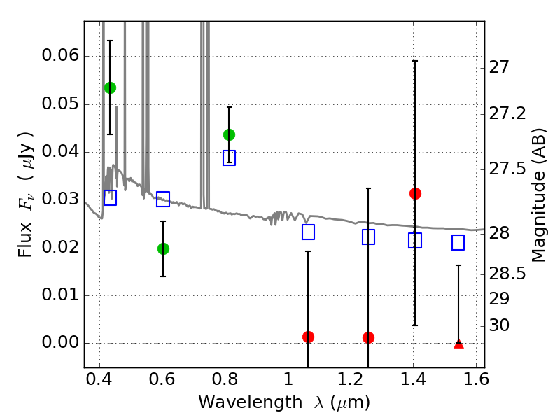
Catalog: 6711.cat
Black segments are analyzed here.   Roll mouse over color images to view segments.
Best viewed in a wide browser window (1200 pixels or more).   Download SED & P(z) plots to view larger versions.
In P(z) plots: Yellow lines mark the cluster redshift z = 0.972,  

Object #6711   x,y = (7116, 5558)   RA, Dec = (06:15:45.096, -57:47:29.04) = (93.93790, -57.79140)   BPZ = 0.115 [0.091--2.444]   type = 11.00 (SB11_A_0_l)   stellarity = 0.08   chisq2 = 3.03   ODDS = 0.20   z_cluster = 0.972