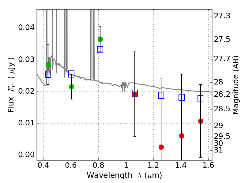
SPT0615-57 ACS+IR detection object #6621

Color images and BPZ results
Catalog: 6621.cat
Black segments are analyzed here.   Roll mouse over color images to view segments.
Best viewed in a wide browser window (1200 pixels or more).   Download SED & P(z) plots to view larger versions.
In P(z) plots: Yellow lines mark the cluster redshift z = 0.972,  

Object #6621   x,y = (7178, 5526)   RA, Dec = (06:15:44.640, -57:47:31.20) = (93.93600, -57.79200)   BPZ = 0.136 [0.089--1.065]   type = 11.00 (SB11_A_0_l)   stellarity = 0.68   chisq2 = 0.71   ODDS = 0.36   z_cluster = 0.972