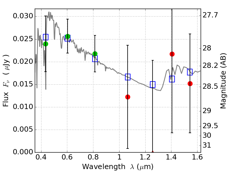
SPT0615-57 ACS+IR detection object #6509

Color images and BPZ results
Catalog: 6509.cat
Black segments are analyzed here.   Roll mouse over color images to view segments.
Best viewed in a wide browser window (1200 pixels or more).   Download SED & P(z) plots to view larger versions.
In P(z) plots: Yellow lines mark the cluster redshift z = 0.972,  

Object #6509   x,y = (6089, 5487)   RA, Dec = (06:15:52.800, -57:47:33.36) = (93.97000, -57.79260)   BPZ = 2.595 [0.179--3.219]   type = 11.00 (SB11_A_0_l)   stellarity = 0.08   chisq2 = 0.24   ODDS = 0.20   z_cluster = 0.972