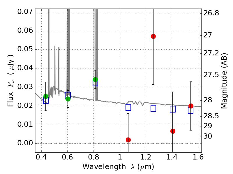
SPT0615-57 ACS+IR detection object #6463

Color images and BPZ results
Catalog: 6463.cat
Black segments are analyzed here.   Roll mouse over color images to view segments.
Best viewed in a wide browser window (1200 pixels or more).   Download SED & P(z) plots to view larger versions.
In P(z) plots: Yellow lines mark the cluster redshift z = 0.972,  

Object #6463   x,y = (5980, 5469)   RA, Dec = (06:15:53.616, -57:47:34.44) = (93.97340, -57.79290)   BPZ = 0.230 [0.100--3.321]   type = 11.00 (SB11_A_0_l)   stellarity = 0.36   chisq2 = 1.09   ODDS = 0.14   z_cluster = 0.972