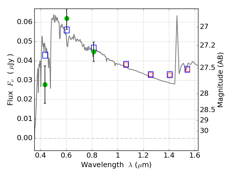
SPT0615-57 ACS+IR detection object #6010

Color images and BPZ results
Catalog: 6010.cat
Black segments are analyzed here.   Roll mouse over color images to view segments.
Best viewed in a wide browser window (1200 pixels or more).   Download SED & P(z) plots to view larger versions.
In P(z) plots: Yellow lines mark the cluster redshift z = 0.972,  

Object #6010   x,y = (7930, 5313)   RA, Dec = (06:15:38.976, -57:47:43.80) = (93.91240, -57.79550)   BPZ = 2.935 [0.296--3.502]   type = 11.00 (SB11_A_0_l)   stellarity = 0.01   chisq2 = 3.03   ODDS = 0.34   z_cluster = 0.972