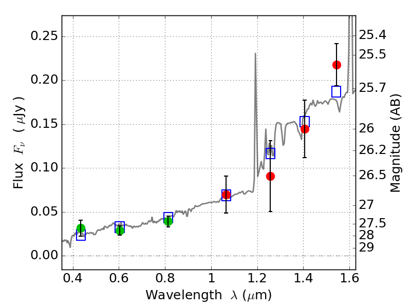
SPT0615-57 ACS+IR detection object #4984

Color images and BPZ results
Catalog: 4984.cat
Black segments are analyzed here.   Roll mouse over color images to view segments.
Best viewed in a wide browser window (1200 pixels or more).   Download SED & P(z) plots to view larger versions.
In P(z) plots: Yellow lines mark the cluster redshift z = 0.972,  

Object #4984   x,y = (5706, 4951)   RA, Dec = (06:15:55.680, -57:48:05.40) = (93.98200, -57.80150)   BPZ = 2.198 [1.370--2.645]   type = 7.40 (Scd_B10 - SB1_B10)   stellarity = 0.01   chisq2 = 0.54   ODDS = 0.31   z_cluster = 0.972