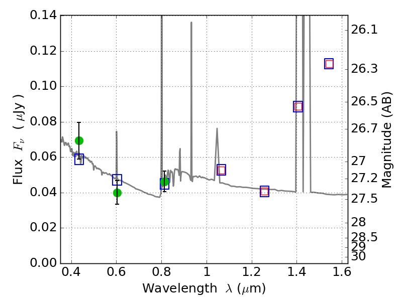
SPT0615-57 ACS+IR detection object #4811

Color images and BPZ results
Catalog: 4811.cat
Black segments are analyzed here.   Roll mouse over color images to view segments.
Best viewed in a wide browser window (1200 pixels or more).   Download SED & P(z) plots to view larger versions.
In P(z) plots: Yellow lines mark the cluster redshift z = 0.972,  

Object #4811   x,y = (6725, 4888)   RA, Dec = (06:15:48.024, -57:48:09.36) = (93.95010, -57.80260)   BPZ = 1.153 [0.680--2.529]   type = 11.00 (SB11_A_0_l)   stellarity = 0.00   chisq2 = 1.20   ODDS = 0.15   z_cluster = 0.972