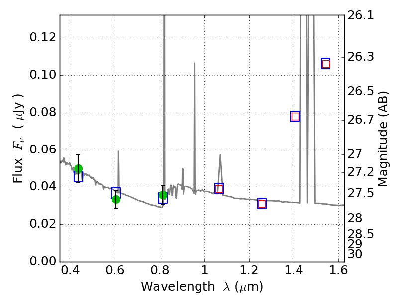
SPT0615-57 ACS+IR detection object #4584

Color images and BPZ results
Catalog: 4584.cat
Black segments are analyzed here.   Roll mouse over color images to view segments.
Best viewed in a wide browser window (1200 pixels or more).   Download SED & P(z) plots to view larger versions.
In P(z) plots: Yellow lines mark the cluster redshift z = 0.972,  

Object #4584   x,y = (6081, 4816)   RA, Dec = (06:15:52.872, -57:48:13.68) = (93.97030, -57.80380)   BPZ = 1.202 [0.663--2.583]   type = 11.00 (SB11_A_0_l)   stellarity = 0.01   chisq2 = 0.36   ODDS = 0.13   z_cluster = 0.972