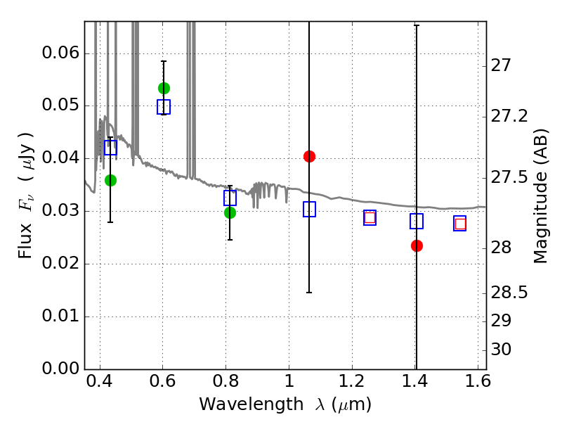
SPT0615-57 ACS+IR detection object #4301

Color images and BPZ results
Catalog: 4301.cat
Black segments are analyzed here.   Roll mouse over color images to view segments.
Best viewed in a wide browser window (1200 pixels or more).   Download SED & P(z) plots to view larger versions.
In P(z) plots: Yellow lines mark the cluster redshift z = 0.972,  

Object #4301   x,y = (5461, 4739)   RA, Dec = (06:15:57.504, -57:48:18.36) = (93.98960, -57.80510)   BPZ = 0.038 [0.032--3.156]   type = 11.00 (SB11_A_0_l)   stellarity = 0.46   chisq2 = 0.60   ODDS = 0.06   z_cluster = 0.972