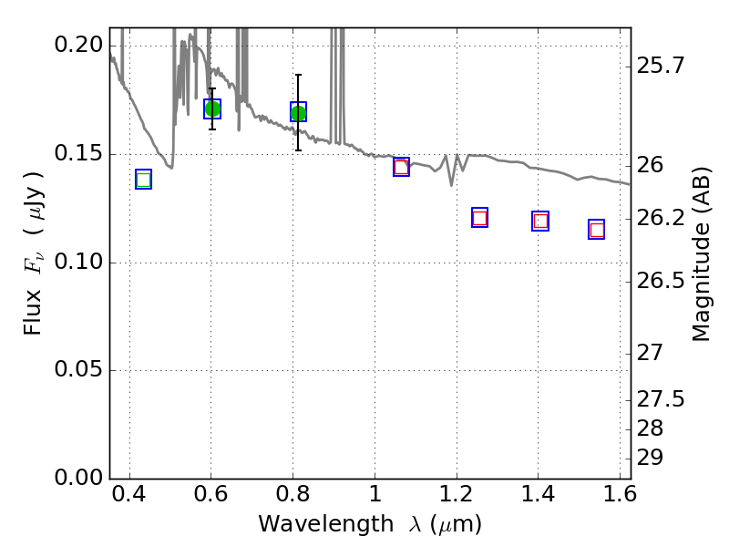
SPT0615-57 ACS+IR detection object #1992

Color images and BPZ results
Catalog: 1992.cat
Black segments are analyzed here.   Roll mouse over color images to view segments.
Best viewed in a wide browser window (1200 pixels or more).   Download SED & P(z) plots to view larger versions.
In P(z) plots: Yellow lines mark the cluster redshift z = 0.972,  

Object #1992   x,y = (4616, 3863)   RA, Dec = (06:16:03.864, -57:49:10.92) = (94.01610, -57.81970)   BPZ = 0.372 [0.261--3.516]   type = 11.00 (SB11_A_0_l)   stellarity = 0.00   chisq2 = 0.00   ODDS = 0.05   z_cluster = 0.972