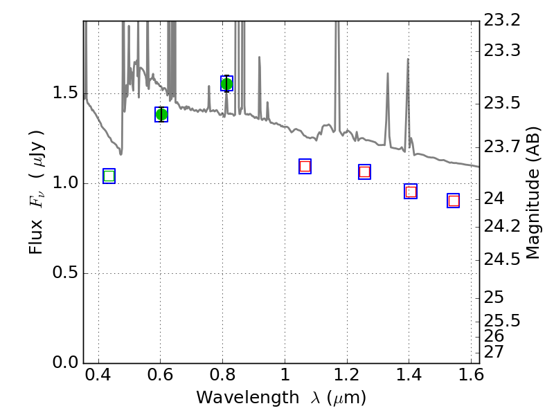
SPT0615-57 ACS+IR detection object #1637

Color images and BPZ results
Catalog: 1637.cat
Black segments are analyzed here.   Roll mouse over color images to view segments.
Best viewed in a wide browser window (1200 pixels or more).   Download SED & P(z) plots to view larger versions.
In P(z) plots: Yellow lines mark the cluster redshift z = 0.972,  

Object #1637   x,y = (7597, 3680)   RA, Dec = (06:15:41.472, -57:49:21.72) = (93.92280, -57.82270)   BPZ = 0.291 [0.090--2.991]   type = 10.70 (SB11_A_0_l - SB3_B10)   stellarity = 0.03   chisq2 = 0.00   ODDS = 0.14   z_cluster = 0.972