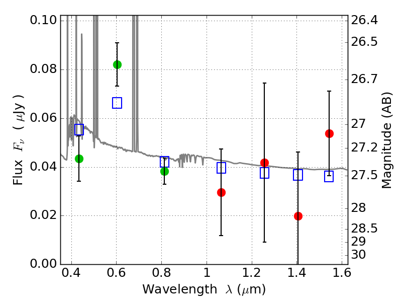
SPT0615-57 ACS+IR detection object #12504

Color images and BPZ results
Catalog: 12504.cat
Black segments are analyzed here.   Roll mouse over color images to view segments.
Best viewed in a wide browser window (1200 pixels or more).   Download SED & P(z) plots to view larger versions.
In P(z) plots: Yellow lines mark the cluster redshift z = 0.972,  

Object #12504   x,y = (6202, 7332)   RA, Dec = (06:15:51.960, -57:45:42.84) = (93.96650, -57.76190)   BPZ = 0.034 [0.022--3.142]   type = 11.00 (SB11_A_0_l)   stellarity = 0.42   chisq2 = 1.46   ODDS = 0.11   z_cluster = 0.972