SPT0615-57 ACS+IR detection object #11522

Color images and BPZ results
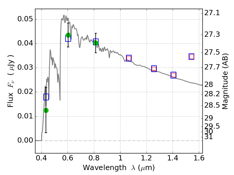
Catalog: 11522.cat
Black segments are analyzed here.   Roll mouse over color images to view segments.
Best viewed in a wide browser window (1200 pixels or more).   Download SED & P(z) plots to view larger versions.
In P(z) plots: Yellow lines mark the cluster redshift z = 0.972,  

Object #11522   x,y = (7748, 7045)   RA, Dec = (06:15:40.368, -57:45:59.76) = (93.91820, -57.76660)   BPZ = 3.456 [0.222--3.777]   type = 11.00 (SB11_A_0_l)   stellarity = 0.59   chisq2 = 0.38   ODDS = 0.25   z_cluster = 0.972