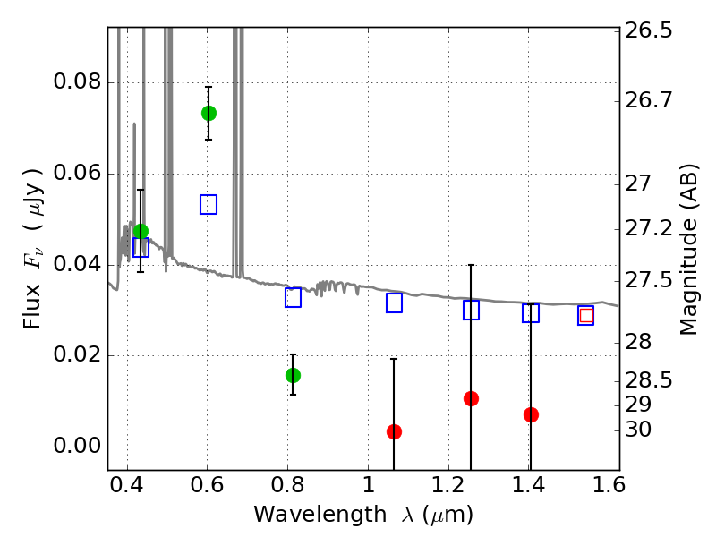
SPT0615-57 ACS+IR detection object #11319

Color images and BPZ results
Catalog: 11319.cat
Black segments are analyzed here.   Roll mouse over color images to view segments.
Best viewed in a wide browser window (1200 pixels or more).   Download SED & P(z) plots to view larger versions.
In P(z) plots: Yellow lines mark the cluster redshift z = 0.972,  

Object #11319   x,y = (5944, 6992)   RA, Dec = (06:15:53.880, -57:46:03.00) = (93.97450, -57.76750)   BPZ = 0.023 [0.010--2.117]   type = 11.00 (SB11_A_0_l)   stellarity = 0.41   chisq2 = 7.35   ODDS = 0.95   z_cluster = 0.972