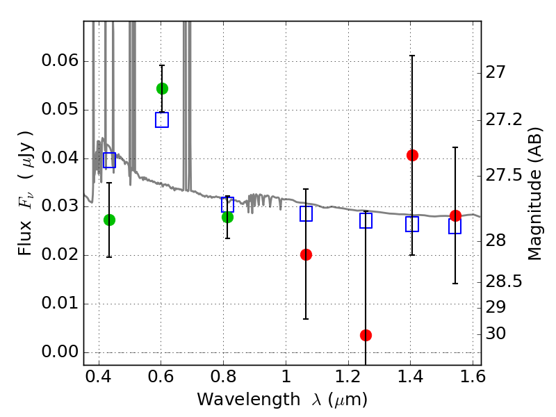
SPT0615-57 ACS+IR detection object #10141

Color images and BPZ results
Catalog: 10141.cat
Black segments are analyzed here.   Roll mouse over color images to view segments.
Best viewed in a wide browser window (1200 pixels or more).   Download SED & P(z) plots to view larger versions.
In P(z) plots: Yellow lines mark the cluster redshift z = 0.972,  

Object #10141   x,y = (5531, 6652)   RA, Dec = (06:15:56.976, -57:46:23.52) = (93.98740, -57.77320)   BPZ = 0.035 [0.019--3.248]   type = 11.00 (SB11_A_0_l)   stellarity = 0.73   chisq2 = 1.34   ODDS = 0.15   z_cluster = 0.972