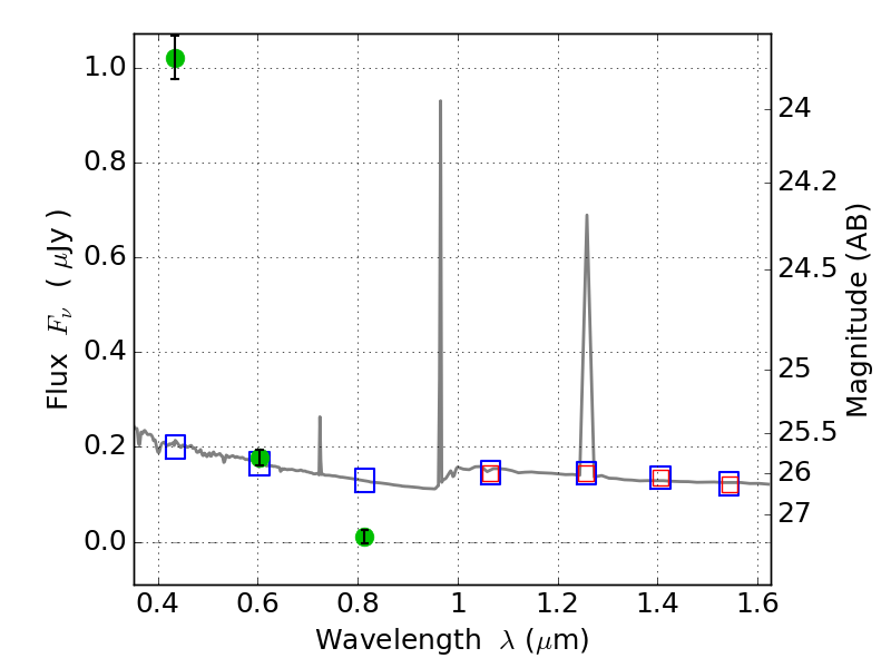
SMACS0723-73 ACS+IR detection object #6041

Color images and BPZ results
Catalog: 6041.cat
Black segments are analyzed here.   Roll mouse over color images to view segments.
Best viewed in a wide browser window (1200 pixels or more).   Download SED & P(z) plots to view larger versions.
In P(z) plots: Yellow lines mark the cluster redshift z = 0.390,  

Object #6041   x,y = (574, 1423)   RA, Dec = (07:23:47.112, -73:28:19.56) = (110.94630, -73.47210)   BPZ = 1.593 [1.460--2.087]   type = 11.00 (SB11_A_0_l)   stellarity = 0.92   chisq2 = 340.70   ODDS = 0.59   z_cluster = 0.390