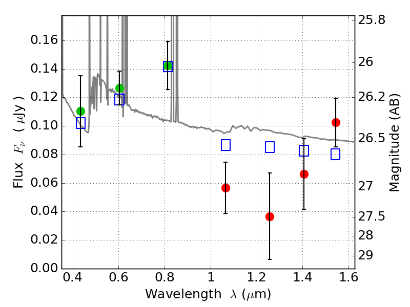
SMACS0723-73 ACS+IR detection object #5049

Color images and BPZ results
Catalog: 5049.cat
Black segments are analyzed here.   Roll mouse over color images to view segments.
Best viewed in a wide browser window (1200 pixels or more).   Download SED & P(z) plots to view larger versions.
In P(z) plots: Yellow lines mark the cluster redshift z = 0.390,  

Object #5049   x,y = (2530, 1912)   RA, Dec = (07:23:19.608, -73:27:50.40) = (110.83170, -73.46400)   BPZ = 0.273 [0.087--3.168]   type = 11.00 (SB11_A_0_l)   stellarity = 0.00   chisq2 = 1.64   ODDS = 0.22   z_cluster = 0.390