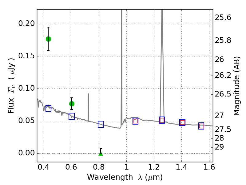
SMACS0723-73 ACS+IR detection object #4902

Color images and BPZ results
Catalog: 4902.cat
Black segments are analyzed here.   Roll mouse over color images to view segments.
Best viewed in a wide browser window (1200 pixels or more).   Download SED & P(z) plots to view larger versions.
In P(z) plots: Yellow lines mark the cluster redshift z = 0.390,  

Object #4902   x,y = (723, 2014)   RA, Dec = (07:23:45.000, -73:27:44.28) = (110.93750, -73.46230)   BPZ = 1.594 [1.385--2.239]   type = 11.00 (SB11_A_0_l)   stellarity = 0.98   chisq2 = 64.09   ODDS = 0.36   z_cluster = 0.390