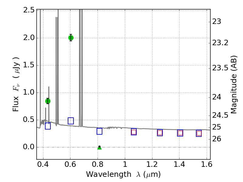
SMACS0723-73 ACS+IR detection object #415

Color images and BPZ results
Catalog: 415.cat
Black segments are analyzed here.   Roll mouse over color images to view segments.
Best viewed in a wide browser window (1200 pixels or more).   Download SED & P(z) plots to view larger versions.
In P(z) plots: Yellow lines mark the cluster redshift z = 0.390,  

Object #415   x,y = (1260, 4422)   RA, Dec = (07:23:37.416, -73:25:19.92) = (110.90590, -73.42220)   BPZ = 0.016 [0.010--0.032]   type = 11.00 (SB11_A_0_l)   stellarity = 0.95   chisq2 = 601.30   ODDS = 1.00   z_cluster = 0.390